Rooted in Collective Progress

Venturing into our 4th year of Restore projects in Hong Kong, the foundation of regenerative farming in Hong Kong is surely maturing. The notion of tending the land instead of just tending the crops is clearer than ever for our regenerative farming community. 

Supported by our restaurant partners, donors, consumers, and soil experts — along with Patagonia’s generous 1% for the Planet grant — Zero Foodprint Asia collaborates across the entire value chain to regenerate our food system. It stands as a powerful example of collective regeneration and community-driven climate action.

Power Comes From Community

As a production farm supplying schools and supermarkets, Organic Farmula has to ensure that its implementation of regenerative practices is efficient and at scale in order to maintain yield and maximize soil restoration efforts. After seeing farmer Pat Fan’s success at Cham Shan Farm, operator Kelvis consulted him to see how she could install a similar compost tea and bioactive plant nutrient station at her farm. After months of communication and planning, the station is finally ready. By connecting the station to the farm’s irrigation system, farmers can conveniently and consistently apply nutrient amendments, eliminating the need for labor-intensive and time-consuming watering cans.

For farmers new to regenerative practices, the learning curve can be quite steep, as it involves gaining knowledge in areas such as soil health, plant biology, nutritional science, and more. At the same time, noticeable results can take months or even years to appear, making reassurance from transitioned farms, guidance from TAPs, and personal conviction essential. In the beginning, farmer Karen felt overwhelmed by the process, but with support from nearby Restore Farms and TAPs, who provided ready-to-use fish hydrolysate, Trichoderma, and nutrient ferments, she was able to get a strong start, since these amendments typically take months to prepare.

After observing clear improvements in plant quality from the bioactive nutrients, Karen became confident in their effectiveness and has since expanded their use, experimenting with new amendment batches and incorporating food waste from nearby communities as base materials.

Dec 2024 vs Jun 2025

One of the new practices recommended by our locally appointed soil expert from Homeland Green is to apply bioactive fulvic acid (BFA) to make compost. Given its novelty and complexity, experiments are needed to examine its effect. Farmer Eva was one of the first users, sharing how quickly she was able to make quality compost with it directly on the top of the plots in conjunction with food waste and brown material. She further reported that crops grown in these plots grew exceptionally well.

Her success also prompted more farmers to test the BFA solution in different ways, for example, farmer Pat Fan added it to his wood chip and goat manure pile to speed up the decomposition process into “mulch”. With farmers sharing their experiences and the scientific reasoning provided by our appointed soil expert, farmers can now make compost more seamlessly and with confidence.

Ecological Triumphs

From extended harvest to minimal pest and disease interference, these improvements are customary and hard to miss. All transitioning farms reported triumphs in increased yields and healthier crops, a clear indicator of improved soil health. 

“I’ve been harvesting okras since June, and they are still producing fruits until now (as of late Oct); I also planted fewer rows (of Okras) than last year, but the yield still increased with more extended branches.” - Farmer Sze Chung


Moreover, farms are slowly reintroducing biodiversity. Biodiversity isn’t simply the types of crops grown, but the different insects and surrounding species that interact at the farm. A healthy ecosystem means no single species dominates the area, and our Restore farmers also witnessed greater life and vibrancy on their farms. Farms such as Organic Farmula, Eva’s Farm, and Sangwoodgoon sheltered more dragonflies over the years of regenerative transition, another example of a healthy biosphere. 

Replenishing Soil

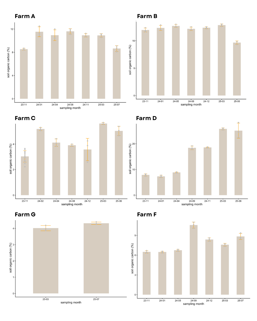
Since 2023, we have conducted various tests to track the progress of our grantee farms. Of which, the most important assessments are the Soil Organic Carbon (SOC) and Soil Respiration to determine the farms’ carbon sequestration potential. The results of 2023-24 have been awe-inspiring, and the past year was nothing but the same.

To reiterate, SOC measures carbon content within soil organic matter (SOM) that contributes to soil fertility, nutrient retention, moisture retention, structure, and carbon sequestration; and Soil Respiration measures CO2 produced by the soil organisms, including microbes (bacteria, fungi), plant roots, and soil fauna (earthworms and mites, etc.), thus their nutrient cycling capability that sustains plant growth. The two metrics analyze soil health and are similar in nature; the higher measurement represents higher SOC availability and microbial activity. For a more detailed explanation of the assessments, please refer to our previous article.

(To ensure a more accurate result, several tests were conducted per assessment as seen in the following Figures. Each grey dot indicates individual test results with the standard error shown as an I-bar.)

Figure 1 - SOC

Figure 2 - Soil Respiration

From our revisit to the first-year grantees, their results reveal a strong return of below-ground biodiversity and improved carbon sequestration — both vital for reversing climate change and restoring ecosystem health. As shown in Figure 1, all participating farms demonstrated either a steady increase or sustained levels of soil organic carbon (SOC) throughout their transition journey, with several surpassing 10% SOC (compared to industrial plantation averages of below 2% in Southeast Asia). Figure 2 further illustrates this trend, where our grantee farms exhibited highly active microbial networks, indicating robust nutrient cycling and overall soil vitality.

As aforementioned, restoring soil health could take years, but from these results, we would say our Restore Farms are certainly exceeding expectations. 

Note:

  • The slight drop in June and July for several farms in both SOC and Soil Respiration is likely the result of constant rain, which affects farmers’ ability to plant crops for photosynthesis, and of heavy precipitation, which washes off organic matter.

  • Farm D’s drastic increase in both parameters in March and June 2025 is likely the result of compost incorporated in the soil sample.

 

What’s Next?

Our 4th Restore in Action in Hong Kong has already achieved a strong start, with new grantees and TAPs coming together for training sessions and actively implementing the practices. Be sure to check out our regular farm updates!

Supported by Patagonia’s 1% For the Planet.

Previous
Previous

Cultivating Resilience: Latest Updates from Our Nepal Agroforestry Project

Next
Next

Building Resilience From the Ground Up in Mindanao, Philippines